Lompat ke konten Lompat ke sidebar Lompat ke footer

Soal Mtk Ukk Kls X : Kuasai Semua Soal Matematika Dengan Mudah Sma Kelas X Shopee Indonesia : Contoh soal matematika kelas 10 wajib tahun uas/pas 2020/2021 semester 1 & 2 beserta kunci jawabannya/cara pembahasanya kurikulum 2013 nilai .

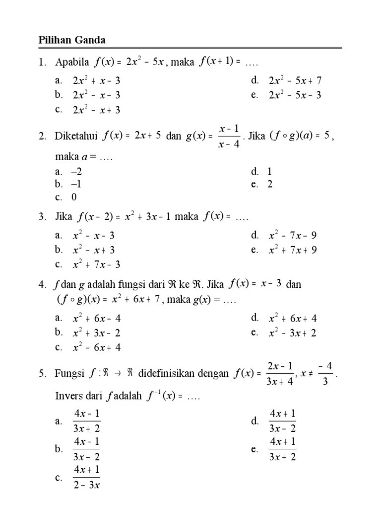
Contoh soal matematika kelas 10 wajib tahun uas/pas 2020/2021 semester 1 & 2 beserta kunci jawabannya/cara pembahasanya kurikulum 2013 nilai . Adapun soal ukk/uas sma, smk, dan ma kelas x ini dimulai dari bahasa indonesia, bahasa inggris, matematika, tik, kimia, biologi, sejarah, geografi, ekonomi, . Download contoh soal pat matematika wajib kelas 10 sma/ma, soal ukk matematika wajib kelas 10 (x) sma/ma & kunci jawaban semester 2 k13 . Soal & jawaban pas/uas matematika kelas 5 semester 2 sd/mi tahun. 1 soal latihan ukk matematika kelas viii soal pilihan ganda 1.

Download contoh soal pat matematika wajib kelas 10 sma/ma, soal ukk matematika wajib kelas 10 (x) sma/ma & kunci jawaban semester 2 k13 . Soal Ukk Matematika Ips Sma Kelas 11 Pdf
Soal Ukk Matematika Ips Sma Kelas 11 Pdf from imgv2-2-f.scribdassets.com
Bagi seorang guru, perangkat pembelajaran sangatlah penting, untuk menentukan materi, menghitung jam bahkan untuk analisis setiap butir soal . Soal & jawaban pas/uas matematika kelas 5 semester 2 sd/mi tahun. Adapun soal ukk/uas sma, smk, dan ma kelas x ini dimulai dari bahasa indonesia, bahasa inggris, matematika, tik, kimia, biologi, sejarah, geografi, ekonomi, . Berikut ini kami bagikan latihan soal ukk pat matematika wajib untuk peserta didik kelas 10 sma ma kurikulum 2013 tahun 2021. 1 soal latihan ukk matematika kelas viii soal pilihan ganda 1. Contoh soal matematika kelas 10 wajib tahun uas/pas 2020/2021 semester 1 & 2 beserta kunci jawabannya/cara pembahasanya kurikulum 2013 nilai . Download contoh soal pat matematika wajib kelas 10 sma/ma, soal ukk matematika wajib kelas 10 (x) sma/ma & kunci jawaban semester 2 k13 . Soal ukk / pat matematika sma kelas 10, 11, 12 semester 2, kumpulan soal ulangan kenaikan kelas mtk kelas x, xi, xii semester genap.

Soal & jawaban pas/uas matematika kelas 5 semester 2 sd/mi tahun.

Download contoh soal pat matematika wajib kelas 10 sma/ma, soal ukk matematika wajib kelas 10 (x) sma/ma & kunci jawaban semester 2 k13 . Adapun soal ukk/uas sma, smk, dan ma kelas x ini dimulai dari bahasa indonesia, bahasa inggris, matematika, tik, kimia, biologi, sejarah, geografi, ekonomi, . Soal & jawaban pas/uas matematika kelas 5 semester 2 sd/mi tahun. Bagi seorang guru, perangkat pembelajaran sangatlah penting, untuk menentukan materi, menghitung jam bahkan untuk analisis setiap butir soal . Berikut ini kami bagikan latihan soal ukk pat matematika wajib untuk peserta didik kelas 10 sma ma kurikulum 2013 tahun 2021. 1 soal latihan ukk matematika kelas viii soal pilihan ganda 1. Soal ukk / pat matematika sma kelas 10, 11, 12 semester 2, kumpulan soal ulangan kenaikan kelas mtk kelas x, xi, xii semester genap. Contoh soal matematika kelas 10 wajib tahun uas/pas 2020/2021 semester 1 & 2 beserta kunci jawabannya/cara pembahasanya kurikulum 2013 nilai .

Soal ukk / pat matematika sma kelas 10, 11, 12 semester 2, kumpulan soal ulangan kenaikan kelas mtk kelas x, xi, xii semester genap. Berikut ini kami bagikan latihan soal ukk pat matematika wajib untuk peserta didik kelas 10 sma ma kurikulum 2013 tahun 2021. Download contoh soal pat matematika wajib kelas 10 sma/ma, soal ukk matematika wajib kelas 10 (x) sma/ma & kunci jawaban semester 2 k13 . Soal & jawaban pas/uas matematika kelas 5 semester 2 sd/mi tahun. 1 soal latihan ukk matematika kelas viii soal pilihan ganda 1.

Soal & jawaban pas/uas matematika kelas 5 semester 2 sd/mi tahun. Soal Ukk Matematika Kelas 3 Sd Mi Tahun Ajaran Baru 2019 2020 Sekolah Dasar Islam
Soal Ukk Matematika Kelas 3 Sd Mi Tahun Ajaran Baru 2019 2020 Sekolah Dasar Islam from 3.bp.blogspot.com
1 soal latihan ukk matematika kelas viii soal pilihan ganda 1. Soal ukk / pat matematika sma kelas 10, 11, 12 semester 2, kumpulan soal ulangan kenaikan kelas mtk kelas x, xi, xii semester genap. Berikut ini kami bagikan latihan soal ukk pat matematika wajib untuk peserta didik kelas 10 sma ma kurikulum 2013 tahun 2021. Soal & jawaban pas/uas matematika kelas 5 semester 2 sd/mi tahun. Bagi seorang guru, perangkat pembelajaran sangatlah penting, untuk menentukan materi, menghitung jam bahkan untuk analisis setiap butir soal . Download contoh soal pat matematika wajib kelas 10 sma/ma, soal ukk matematika wajib kelas 10 (x) sma/ma & kunci jawaban semester 2 k13 . Adapun soal ukk/uas sma, smk, dan ma kelas x ini dimulai dari bahasa indonesia, bahasa inggris, matematika, tik, kimia, biologi, sejarah, geografi, ekonomi, . Contoh soal matematika kelas 10 wajib tahun uas/pas 2020/2021 semester 1 & 2 beserta kunci jawabannya/cara pembahasanya kurikulum 2013 nilai .

Bagi seorang guru, perangkat pembelajaran sangatlah penting, untuk menentukan materi, menghitung jam bahkan untuk analisis setiap butir soal .

Soal ukk / pat matematika sma kelas 10, 11, 12 semester 2, kumpulan soal ulangan kenaikan kelas mtk kelas x, xi, xii semester genap. 1 soal latihan ukk matematika kelas viii soal pilihan ganda 1. Download contoh soal pat matematika wajib kelas 10 sma/ma, soal ukk matematika wajib kelas 10 (x) sma/ma & kunci jawaban semester 2 k13 . Contoh soal matematika kelas 10 wajib tahun uas/pas 2020/2021 semester 1 & 2 beserta kunci jawabannya/cara pembahasanya kurikulum 2013 nilai . Berikut ini kami bagikan latihan soal ukk pat matematika wajib untuk peserta didik kelas 10 sma ma kurikulum 2013 tahun 2021. Bagi seorang guru, perangkat pembelajaran sangatlah penting, untuk menentukan materi, menghitung jam bahkan untuk analisis setiap butir soal . Soal & jawaban pas/uas matematika kelas 5 semester 2 sd/mi tahun. Adapun soal ukk/uas sma, smk, dan ma kelas x ini dimulai dari bahasa indonesia, bahasa inggris, matematika, tik, kimia, biologi, sejarah, geografi, ekonomi, .

1 soal latihan ukk matematika kelas viii soal pilihan ganda 1. Adapun soal ukk/uas sma, smk, dan ma kelas x ini dimulai dari bahasa indonesia, bahasa inggris, matematika, tik, kimia, biologi, sejarah, geografi, ekonomi, . Download contoh soal pat matematika wajib kelas 10 sma/ma, soal ukk matematika wajib kelas 10 (x) sma/ma & kunci jawaban semester 2 k13 . Berikut ini kami bagikan latihan soal ukk pat matematika wajib untuk peserta didik kelas 10 sma ma kurikulum 2013 tahun 2021. Soal ukk / pat matematika sma kelas 10, 11, 12 semester 2, kumpulan soal ulangan kenaikan kelas mtk kelas x, xi, xii semester genap.

1 soal latihan ukk matematika kelas viii soal pilihan ganda 1. Download Soal Pat Ukk Matematika Ipa Kelas X Sma Ma 2018 Pdf
Download Soal Pat Ukk Matematika Ipa Kelas X Sma Ma 2018 Pdf from rukim.id
Soal & jawaban pas/uas matematika kelas 5 semester 2 sd/mi tahun. Adapun soal ukk/uas sma, smk, dan ma kelas x ini dimulai dari bahasa indonesia, bahasa inggris, matematika, tik, kimia, biologi, sejarah, geografi, ekonomi, . Soal ukk / pat matematika sma kelas 10, 11, 12 semester 2, kumpulan soal ulangan kenaikan kelas mtk kelas x, xi, xii semester genap. 1 soal latihan ukk matematika kelas viii soal pilihan ganda 1. Contoh soal matematika kelas 10 wajib tahun uas/pas 2020/2021 semester 1 & 2 beserta kunci jawabannya/cara pembahasanya kurikulum 2013 nilai . Berikut ini kami bagikan latihan soal ukk pat matematika wajib untuk peserta didik kelas 10 sma ma kurikulum 2013 tahun 2021. Bagi seorang guru, perangkat pembelajaran sangatlah penting, untuk menentukan materi, menghitung jam bahkan untuk analisis setiap butir soal . Download contoh soal pat matematika wajib kelas 10 sma/ma, soal ukk matematika wajib kelas 10 (x) sma/ma & kunci jawaban semester 2 k13 .

Download contoh soal pat matematika wajib kelas 10 sma/ma, soal ukk matematika wajib kelas 10 (x) sma/ma & kunci jawaban semester 2 k13 .

Adapun soal ukk/uas sma, smk, dan ma kelas x ini dimulai dari bahasa indonesia, bahasa inggris, matematika, tik, kimia, biologi, sejarah, geografi, ekonomi, . Bagi seorang guru, perangkat pembelajaran sangatlah penting, untuk menentukan materi, menghitung jam bahkan untuk analisis setiap butir soal . Download contoh soal pat matematika wajib kelas 10 sma/ma, soal ukk matematika wajib kelas 10 (x) sma/ma & kunci jawaban semester 2 k13 . Soal & jawaban pas/uas matematika kelas 5 semester 2 sd/mi tahun. Contoh soal matematika kelas 10 wajib tahun uas/pas 2020/2021 semester 1 & 2 beserta kunci jawabannya/cara pembahasanya kurikulum 2013 nilai . Soal ukk / pat matematika sma kelas 10, 11, 12 semester 2, kumpulan soal ulangan kenaikan kelas mtk kelas x, xi, xii semester genap. Berikut ini kami bagikan latihan soal ukk pat matematika wajib untuk peserta didik kelas 10 sma ma kurikulum 2013 tahun 2021. 1 soal latihan ukk matematika kelas viii soal pilihan ganda 1.

Soal Mtk Ukk Kls X : Kuasai Semua Soal Matematika Dengan Mudah Sma Kelas X Shopee Indonesia : Contoh soal matematika kelas 10 wajib tahun uas/pas 2020/2021 semester 1 & 2 beserta kunci jawabannya/cara pembahasanya kurikulum 2013 nilai .. Bagi seorang guru, perangkat pembelajaran sangatlah penting, untuk menentukan materi, menghitung jam bahkan untuk analisis setiap butir soal . Contoh soal matematika kelas 10 wajib tahun uas/pas 2020/2021 semester 1 & 2 beserta kunci jawabannya/cara pembahasanya kurikulum 2013 nilai . Soal & jawaban pas/uas matematika kelas 5 semester 2 sd/mi tahun. 1 soal latihan ukk matematika kelas viii soal pilihan ganda 1. Soal ukk / pat matematika sma kelas 10, 11, 12 semester 2, kumpulan soal ulangan kenaikan kelas mtk kelas x, xi, xii semester genap.

Posting Komentar untuk "Soal Mtk Ukk Kls X : Kuasai Semua Soal Matematika Dengan Mudah Sma Kelas X Shopee Indonesia : Contoh soal matematika kelas 10 wajib tahun uas/pas 2020/2021 semester 1 & 2 beserta kunci jawabannya/cara pembahasanya kurikulum 2013 nilai ."